日期:2024-04-21 15:43:20文山州直
来源:文山人社网 阅读:12次
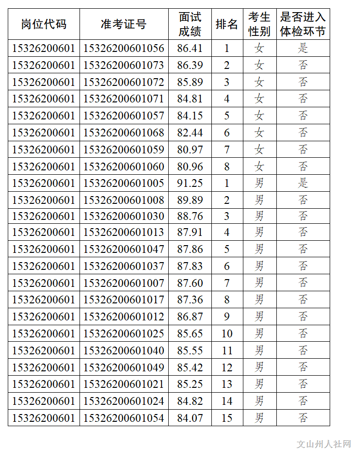
文山州交通运输局直属事业单位2024年紧缺岗位招聘面试成绩及体检人员通告
按照《2024年文山州事业单位紧缺岗位招聘通告》和《文山州交通运输局直属事业单位2024年紧缺人才招聘通告》的有关规定,文山州交通运输局直属事业单位紧缺岗位招聘面试已于2024年4月20日组织开展,现将面试成绩及进入体检环节人员名单通告如下。

如对公示结果有异议,请致电文山州交通运输局机关纪委(0876—3016286)、文山州交通运输局机关党委(0876-3016275)。
文山州交通运输局
2024年4月20日
来源:https://wszrsj.ynws.gov.cn/html/tzgg/21505.html