| 来源:云南农业大学网站 | 时间:2024-05-07 17:16 | 点击次数: 次 | 资讯更全面,考试更专业 |
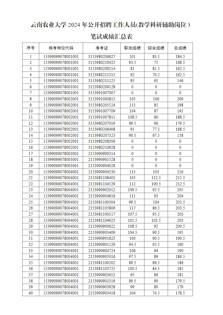
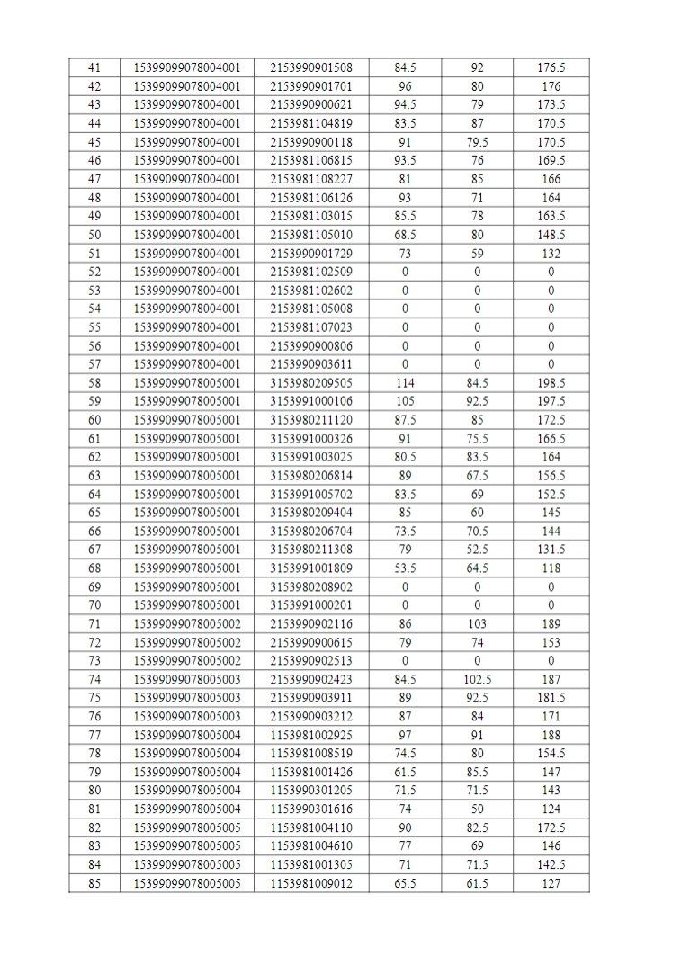
云南农业大学2024年公开招聘工作人员(教学科研辅助岗位)笔试成绩公布及查疑公告






来源:http://www.ynau.edu.cn/info/1060/31074.htm
版权与免责声明
① 由于各方面情况的调整与变化,云南事考网所提供的信息仅供参考,敬请以权威部门公布的正式信息为准。
② 本网注明来源为其他媒体的稿件均为转载稿,免费转载出于非商业性学习目的,版权归原作者所有。如有内容、版权等问题请在30日内与本网联系。

