云南事考网整理2023年11月西双版纳精神卫生防治中心非在编护理人员招聘综合成绩排名及体检时间:2023年11月20日(星期一),上午8:00。
2023年磨憨—磨丁合作区招聘村(社区)青年人才综合成绩公示时间:2023年11月14日-2023年11月19日。
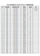
云南事考网整理2023年西双版纳州社区(村)基层治理专干拟聘用人员公示(第二批)以供广大网友查阅,详情内容如下所示:
云南事考网整理2023年西双版纳州中心血站招聘编制外工作人员报名时间及地点:2023年11月6日至11月10日,上午8:00—12:00,下午14:30—18:00。地点:州中心血站四楼办公室(联系电话:0691-2123569)。
云南事考网整理2023年磨憨—磨丁合作区招聘笔试成绩公示、资格复审和面试通知公告以供广大网友查阅,详情内容如下:
2023年西双版纳州社区(村)基层治理专干拟聘用人员公示期为5天(从2023年11月1日起至2023年11月5日止)。
云南事考网整理2023年下半年西双版纳州州级事业单位招聘拟聘用人员公示(二)以供广大网友查阅,详情内容如下所示:
云南事考网整理2023年西双版纳州景洪市基层治理专干招聘资格复审及体检公告以供广大网友查阅,详情内容如下所示:
云南事考网整理2023年西双版纳州工会社会工作专业人才招聘笔试成绩及面试公告以供广大网友查阅,详情内容如下所示:
2023年西双版纳州机关幼儿园万达校区编外人员招聘报名时间2023年10月17日(星期二)8:00至10月25日(星期三)18:00。
2023年磨憨—磨丁合作区招聘村(社区)青年人才招聘报名时间:自2023年10月16日9:00至10月20日18:00时。
云南事考网整理2023年10月西双版纳旅游度假区幼儿园总量管理外人员招聘公告以供广大网友查阅,详情内容如下所示:
云南事考网整理2023年中共西双版纳州委党校(州行政学院)下半年紧缺招聘面试成绩公示以供广大网友查阅,详情内容如下所示:

