云南事考网整理2024年云南水利水电职业学院招聘报名数据(截至3月3日11:00)以供广大网友查阅,详情内容如下所示:
云南事考网整理2024年中国佛教协会、中国佛学院和中国巴利语系高级佛学院招聘公告以供广大网友查阅,详情内容如下所示:
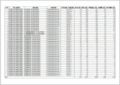
云南事考网整理2024年云南省体育局直属事业单位招聘报名数据(截止3月3日9:00)以供广大网友查阅,详情内容如下所示:
云南事考网整理2024年北京大学肿瘤医院云南医院招聘高层次人才面试公告(第一批次)以供广大网友查阅,详情内容如下所示:
云南事考网整理2024年昆明医科大学第一附属医院招聘博士工作人员资格审核公告以供广大网友查阅,详情内容如下所示:
2024年昆明医科大学第一附属医院招聘现场资格审核时间:2024年3月6日(星期三)8:30-11:30分,其中8:30-9:15为编内硕士岗位审核,9:15-11:30分为非事业编制岗位审核。
云南事考网整理2024年云南水利水电职业学院招聘报名数据(截至3月2日14:00)以供广大网友查阅,详情内容如下所示:
云南事考网整理2024年上半年云南省文化和旅游厅直属事业单位招聘报名数据(截至3月1日18:00)以供广大网友查阅,详情内容如下所示:
云南事考网整理2024年云南林业职业技术学院招聘报名数据(截止3月1日18点)以供广大网友查阅,详情内容如下所示:
云南事考网整理2024年云南林业职业技术学院招聘报名数据(截止3月1日12点)以供广大网友查阅,详情内容如下所示:
云南事考网整理2024年云南省体育局直属事业单位招聘报名数据(截至3月2日9:00)以供广大网友查阅,详情内容如下所示:
云南事考网整理2024年云南水利水电职业学院招聘报名数据(截至3月1日10:30)以供广大网友查阅,详情内容如下所示:
云南事考网整理2024年云南省交通运输厅所属事业单位招聘报名数据(截止到2月29日17:00)以供广大网友查阅,详情内容如下所示:
云南事考网整理2024年云南能源职业技术学院招聘报名数据(截至2月29日17:00)以供广大网友查阅,详情内容如下所示:
云南事考网整理2024年云南能源职业技术学院招聘报名数据(截至2月28日17:00)以供广大网友查阅,详情内容如下所示:
云南事考网整理2024年上半年云南省文化和旅游厅直属事业单位招聘报名数据(截至2月29日18:00)以供广大网友查阅,详情内容如下所示:
云南事考网整理2024年上半年云南省文化和旅游厅直属事业单位招聘报名数据(截至2月28日18:00)以供广大网友查阅,详情内容如下所示:

