云南事考网整理2024年云南林业职业技术学院招聘报名数据(截止2月29日12:35)以供广大网友查阅,详情内容如下所示:
云南事考网整理2024年云南省体育局直属事业单位招聘报名数据(截止2月29日9:00)公示以供广大网友查阅,详情内容如下所示:
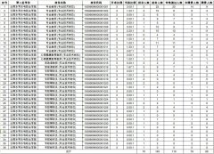
云南事考网整理2024年云南水利水电职业学院招聘报名数据(截至2月29日9:00)公示以供广大网友查阅,详情内容如下所示:
2024年人民法院新闻传媒总社编外聘用人员招聘报名时间:2024年2月29日至3月3日(上午9:00-12:00,下午14:00-17:00)。
云南事考网整理2024年云南省交通运输厅所属事业单位招聘报名数据(截止到2月28日17:00)以供广大网友查阅,详情内容如下所示:
云南事考网整理2024年云南水利水电职业学院招聘报名数据(截至2月28日9:00)以供广大网友查阅,详情内容如下所示:
云南事考网整理2024年云南水利水电职业学院招聘报名数据(截至2月27日9:00)以供广大网友查阅,详情内容如下所示:
云南事考网整理2024年国家统计局云南调查总队考试录用公务员递补面试人选公告以供广大网友查阅,详情内容如下所示:

